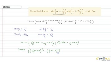
prove that `4sinalpha.sin(alpha+pi/3).sin(alpha+(2pi)/3)=sin3alpha`

Tonton & Download Video Musik Gratis

⬇ DOWNLOAD NOW
Kalau muncul iklan pop-up, tutup lalu klik tombol kembali

Download lagu prove that `4sinalpha.sin(alpha+pi/3).sin(alpha+(2pi)/3)=sin3alpha` secara gratis hanya untuk keperluan promosi. Dukung artis favorit kamu dengan membeli musik original di iTunes atau platform resmi lainnya.