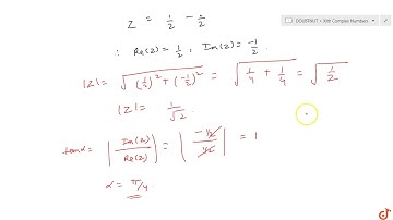
Write the following complex numbers in the polar form: ltmath gt ltmrow gt ltmn gt1 lt/mn g

Tonton & Download Video Musik Gratis

⬇ DOWNLOAD NOW
Kalau muncul iklan pop-up, tutup lalu klik tombol kembali

Download lagu Write the following complex numbers in the polar form: ltmath gt ltmrow gt ltmn gt1 lt/mn g secara gratis hanya untuk keperluan promosi. Dukung artis favorit kamu dengan membeli musik original di iTunes atau platform resmi lainnya.