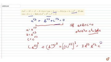
If a^1/3 + b^1/3 + c^1/3 = 0 then ( a + b +c )^3 = 27abc

Tonton & Download Video Musik Gratis

⬇ DOWNLOAD NOW
Kalau muncul iklan pop-up, tutup lalu klik tombol kembali

Download lagu If a^1/3 + b^1/3 + c^1/3 = 0 then ( a + b +c )^3 = 27abc secara gratis hanya untuk keperluan promosi. Dukung artis favorit kamu dengan membeli musik original di iTunes atau platform resmi lainnya.