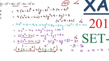
Xavier Aptitude Test ( XAT ) 2017 SET A 5 SEC C DATA INTERPRETATION AND QUNATITATIVE ABILITY

Tonton & Download Video Musik Gratis

⬇ DOWNLOAD NOW
Kalau muncul iklan pop-up, tutup lalu klik tombol kembali

Download lagu Xavier Aptitude Test ( XAT ) 2017 SET A 5 SEC C DATA INTERPRETATION AND QUNATITATIVE ABILITY secara gratis hanya untuk keperluan promosi. Dukung artis favorit kamu dengan membeli musik original di iTunes atau platform resmi lainnya.