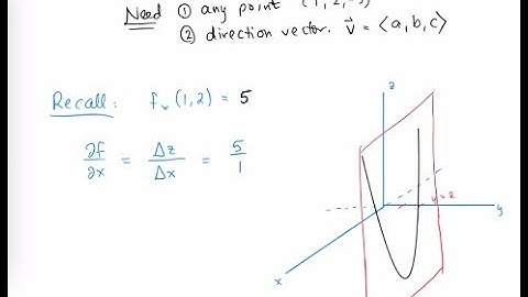
Find the slope of the tangent line to the curve of intersection of the surface z=x2+y2 and the plan…

Tonton & Download Video Musik Gratis

⬇ DOWNLOAD NOW
Kalau muncul iklan pop-up, tutup lalu klik tombol kembali

Download lagu Find the slope of the tangent line to the curve of intersection of the surface z=x2+y2 and the plan… secara gratis hanya untuk keperluan promosi. Dukung artis favorit kamu dengan membeli musik original di iTunes atau platform resmi lainnya.