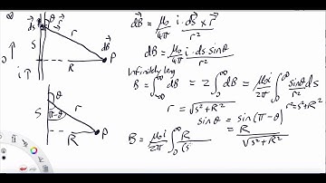
Applying Biot Savart to Find Net Magnetic Field from 2 Infinite Wires

Tonton & Download Video Musik Gratis

⬇ DOWNLOAD NOW
Kalau muncul iklan pop-up, tutup lalu klik tombol kembali

Download lagu Applying Biot Savart to Find Net Magnetic Field from 2 Infinite Wires secara gratis hanya untuk keperluan promosi. Dukung artis favorit kamu dengan membeli musik original di iTunes atau platform resmi lainnya.