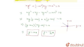
If one of the lines of `my^2+(1-m^2)xy-mx^2=0` is a bisector of the angle between

Tonton & Download Video Musik Gratis

⬇ DOWNLOAD NOW
Kalau muncul iklan pop-up, tutup lalu klik tombol kembali

Download lagu If one of the lines of `my^2+(1-m^2)xy-mx^2=0` is a bisector of the angle between secara gratis hanya untuk keperluan promosi. Dukung artis favorit kamu dengan membeli musik original di iTunes atau platform resmi lainnya.