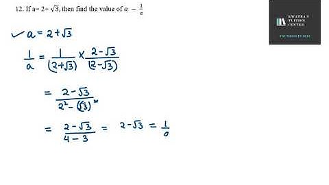
Q193 | If a=2+√3, then the value of (a^6+a^4+a^2+1)/a^3 is | If a = 2 + root 3 then the value of

Tonton & Download Video Musik Gratis

⬇ DOWNLOAD NOW
Kalau muncul iklan pop-up, tutup lalu klik tombol kembali

Download lagu Q193 | If a=2+√3, then the value of (a^6+a^4+a^2+1)/a^3 is | If a = 2 + root 3 then the value of secara gratis hanya untuk keperluan promosi. Dukung artis favorit kamu dengan membeli musik original di iTunes atau platform resmi lainnya.