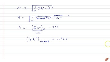
The mean and standard deviations of a group of 100 observations were found to be 20 and 3 respect...

Tonton & Download Video Musik Gratis

⬇ DOWNLOAD NOW
Kalau muncul iklan pop-up, tutup lalu klik tombol kembali

Download lagu The mean and standard deviations of a group of 100 observations were found to be 20 and 3 respect... secara gratis hanya untuk keperluan promosi. Dukung artis favorit kamu dengan membeli musik original di iTunes atau platform resmi lainnya.