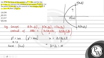
Let R be the focus of the parabola y ^ 2 = 20x and the line y = mx + c intersect the parabola at two

Tonton & Download Video Musik Gratis

⬇ DOWNLOAD NOW
Kalau muncul iklan pop-up, tutup lalu klik tombol kembali

Download lagu Let R be the focus of the parabola y ^ 2 = 20x and the line y = mx + c intersect the parabola at two secara gratis hanya untuk keperluan promosi. Dukung artis favorit kamu dengan membeli musik original di iTunes atau platform resmi lainnya.