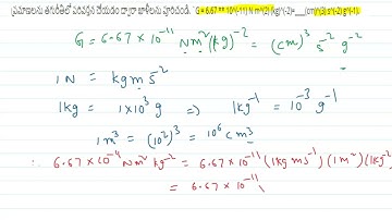
XI-Ln.1/ Dimensional analysis/ Coverting gravitational constant from SI system to CGS system.

Tonton & Download Video Musik Gratis

⬇ DOWNLOAD NOW
Kalau muncul iklan pop-up, tutup lalu klik tombol kembali

Download lagu XI-Ln.1/ Dimensional analysis/ Coverting gravitational constant from SI system to CGS system. secara gratis hanya untuk keperluan promosi. Dukung artis favorit kamu dengan membeli musik original di iTunes atau platform resmi lainnya.