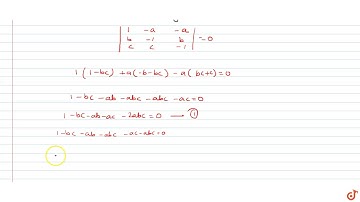
If the system of equations `x=c y+b z` `y=a z+c x` `z=b x+a y` has a non-trivial solution, show ...

Tonton & Download Video Musik Gratis

⬇ DOWNLOAD NOW
Kalau muncul iklan pop-up, tutup lalu klik tombol kembali

Download lagu If the system of equations `x=c y+b z` `y=a z+c x` `z=b x+a y` has a non-trivial solution, show ... secara gratis hanya untuk keperluan promosi. Dukung artis favorit kamu dengan membeli musik original di iTunes atau platform resmi lainnya.