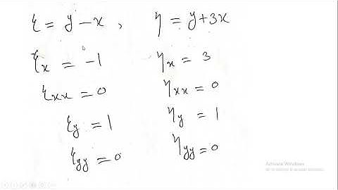
Canonical forms | 2nd order| linear PDE | what is canonical forms

Tonton & Download Video Musik Gratis

âŦ‡ DOWNLOAD NOW
Kalau muncul iklan pop-up, tutup lalu klik tombol kembali

Download lagu Canonical forms | 2nd order| linear PDE | what is canonical forms secara gratis hanya untuk keperluan promosi. Dukung artis favorit kamu dengan membeli musik original di iTunes atau platform resmi lainnya.