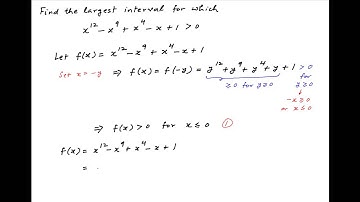
The largest interval for which x^12-x^9+x^4-x+1 is greater than 0 | Algebraic Inequation IITJEE 2020

Tonton & Download Video Musik Gratis

⬇ DOWNLOAD NOW
Kalau muncul iklan pop-up, tutup lalu klik tombol kembali

Download lagu The largest interval for which x^12-x^9+x^4-x+1 is greater than 0 | Algebraic Inequation IITJEE 2020 secara gratis hanya untuk keperluan promosi. Dukung artis favorit kamu dengan membeli musik original di iTunes atau platform resmi lainnya.