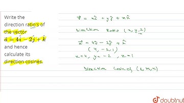
Write the direction ratios of the vector `r=hati-hatj+2hatk` and hence calculate its direction

Tonton & Download Video Musik Gratis

⬇ DOWNLOAD NOW
Kalau muncul iklan pop-up, tutup lalu klik tombol kembali

Download lagu Write the direction ratios of the vector `r=hati-hatj+2hatk` and hence calculate its direction secara gratis hanya untuk keperluan promosi. Dukung artis favorit kamu dengan membeli musik original di iTunes atau platform resmi lainnya.