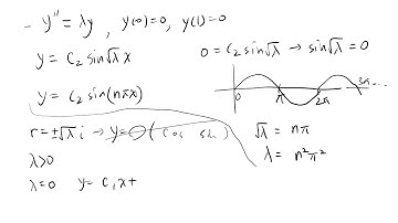
Lecture 10, Part 1- Sturm-Liouville Problems. Solving second-order linear ODEs

Tonton & Download Video Musik Gratis

⬇ DOWNLOAD NOW
Kalau muncul iklan pop-up, tutup lalu klik tombol kembali

Download lagu Lecture 10, Part 1- Sturm-Liouville Problems. Solving second-order linear ODEs secara gratis hanya untuk keperluan promosi. Dukung artis favorit kamu dengan membeli musik original di iTunes atau platform resmi lainnya.