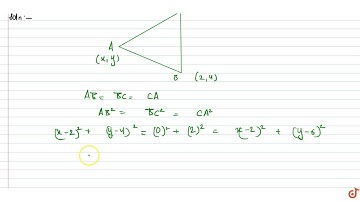
Prove that the points A(2,4), B(2,6) and C(2+√(3), 5) are the vertices of an equilateral triangle...

Tonton & Download Video Musik Gratis

⬇ DOWNLOAD NOW
Kalau muncul iklan pop-up, tutup lalu klik tombol kembali

Download lagu Prove that the points A(2,4), B(2,6) and C(2+√(3), 5) are the vertices of an equilateral triangle... secara gratis hanya untuk keperluan promosi. Dukung artis favorit kamu dengan membeli musik original di iTunes atau platform resmi lainnya.