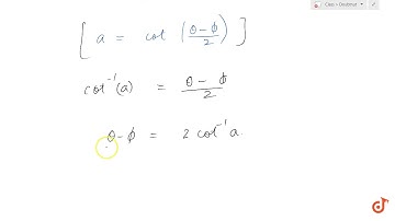
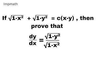
Sqrt( 1-x^2) + sqrt (1-y^2) = a(x-y) prove that sqrt (1-y^2/1-x^2)

Tonton & Download Video Musik Gratis

⬇ DOWNLOAD NOW
Kalau muncul iklan pop-up, tutup lalu klik tombol kembali

Download lagu Sqrt( 1-x^2) + sqrt (1-y^2) = a(x-y) prove that sqrt (1-y^2/1-x^2) secara gratis hanya untuk keperluan promosi. Dukung artis favorit kamu dengan membeli musik original di iTunes atau platform resmi lainnya.