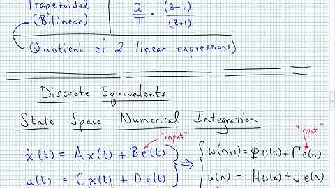
ECE3084 Lecture 50: Digital Filter Design via Pole-Zero Mapping (Signals and Systems, Summer 2020)

Tonton & Download Video Musik Gratis

⬇ DOWNLOAD NOW
Kalau muncul iklan pop-up, tutup lalu klik tombol kembali

Download lagu ECE3084 Lecture 50: Digital Filter Design via Pole-Zero Mapping (Signals and Systems, Summer 2020) secara gratis hanya untuk keperluan promosi. Dukung artis favorit kamu dengan membeli musik original di iTunes atau platform resmi lainnya.