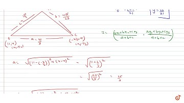
The incentre of the triangle formed by the line `3x + 4y-12 = 0` with the coordinate axis is

Tonton & Download Video Musik Gratis

⬇ DOWNLOAD NOW
Kalau muncul iklan pop-up, tutup lalu klik tombol kembali

Download lagu The incentre of the triangle formed by the line `3x + 4y-12 = 0` with the coordinate axis is secara gratis hanya untuk keperluan promosi. Dukung artis favorit kamu dengan membeli musik original di iTunes atau platform resmi lainnya.