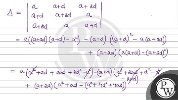
Let \( \Delta=\left|\begin{array}{ccc}a & a+d & a+2 d \\ a+d & a+2 d & a \\ a+2 d & a & a+d\end{...

Tonton & Download Video Musik Gratis

⬇ DOWNLOAD NOW
Kalau muncul iklan pop-up, tutup lalu klik tombol kembali

Download lagu Let \( \Delta=\left|\begin{array}{ccc}a & a+d & a+2 d \\ a+d & a+2 d & a \\ a+2 d & a & a+d\end{... secara gratis hanya untuk keperluan promosi. Dukung artis favorit kamu dengan membeli musik original di iTunes atau platform resmi lainnya.