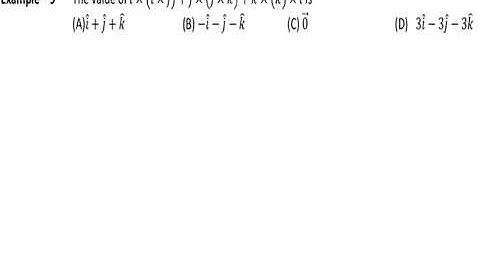
Find the Value of i.(jxk)+j.(kxi) +k.(ixj) | PYQs | Board Exams

Tonton & Download Video Musik Gratis

⬇ DOWNLOAD NOW
Kalau muncul iklan pop-up, tutup lalu klik tombol kembali

Download lagu Find the Value of i.(jxk)+j.(kxi) +k.(ixj) | PYQs | Board Exams secara gratis hanya untuk keperluan promosi. Dukung artis favorit kamu dengan membeli musik original di iTunes atau platform resmi lainnya.