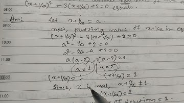
The number of distinct real roots of the equation |x| |x+2| - 5 |x+1| - 1 = 0 is

Tonton & Download Video Musik Gratis

⬇ DOWNLOAD NOW
Kalau muncul iklan pop-up, tutup lalu klik tombol kembali

Download lagu The number of distinct real roots of the equation |x| |x+2| - 5 |x+1| - 1 = 0 is secara gratis hanya untuk keperluan promosi. Dukung artis favorit kamu dengan membeli musik original di iTunes atau platform resmi lainnya.