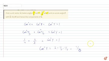
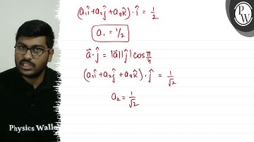
If a unit vector `vec a` makes angles`(pi)/(3)` with `hat i , (pi)/(4)` | Class 12 Maths | Doubtnut

Tonton & Download Video Musik Gratis

⬇ DOWNLOAD NOW
Kalau muncul iklan pop-up, tutup lalu klik tombol kembali

Download lagu If a unit vector `vec a` makes angles`(pi)/(3)` with `hat i , (pi)/(4)` | Class 12 Maths | Doubtnut secara gratis hanya untuk keperluan promosi. Dukung artis favorit kamu dengan membeli musik original di iTunes atau platform resmi lainnya.