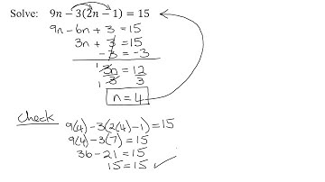
Ex 2: Solve an Equation with Variables and Parentheses on Both Sides

Tonton & Download Video Musik Gratis

⬇ DOWNLOAD NOW
Kalau muncul iklan pop-up, tutup lalu klik tombol kembali

Download lagu Ex 2: Solve an Equation with Variables and Parentheses on Both Sides secara gratis hanya untuk keperluan promosi. Dukung artis favorit kamu dengan membeli musik original di iTunes atau platform resmi lainnya.