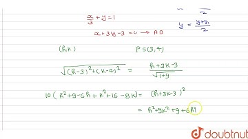
Tangents are drawn from the point P(3,4) to the ellipse x^2/9+y^2/4=1 touching the ellipse at poi...

Tonton & Download Video Musik Gratis

⬇ DOWNLOAD NOW
Kalau muncul iklan pop-up, tutup lalu klik tombol kembali

Download lagu Tangents are drawn from the point P(3,4) to the ellipse x^2/9+y^2/4=1 touching the ellipse at poi... secara gratis hanya untuk keperluan promosi. Dukung artis favorit kamu dengan membeli musik original di iTunes atau platform resmi lainnya.