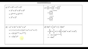
Form 3 Mathematics Chapter 1 Indices/ 1.2c (Activity)

Tonton & Download Video Musik Gratis

⬇ DOWNLOAD NOW
Kalau muncul iklan pop-up, tutup lalu klik tombol kembali

Download lagu Form 3 Mathematics Chapter 1 Indices/ 1.2c (Activity) secara gratis hanya untuk keperluan promosi. Dukung artis favorit kamu dengan membeli musik original di iTunes atau platform resmi lainnya.