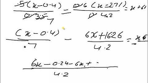
RD Sharma Ex 9.2 Q21 To Q25 Linear Equation In One Variable Class 8 Maths

Tonton & Download Video Musik Gratis

⬇ DOWNLOAD NOW
Kalau muncul iklan pop-up, tutup lalu klik tombol kembali

Download lagu RD Sharma Ex 9.2 Q21 To Q25 Linear Equation In One Variable Class 8 Maths secara gratis hanya untuk keperluan promosi. Dukung artis favorit kamu dengan membeli musik original di iTunes atau platform resmi lainnya.