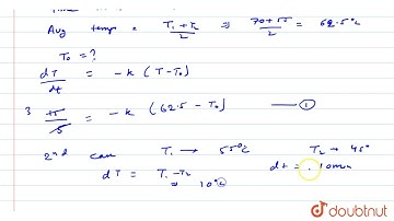
A liquid initially at \(70^{\circ} C\) cools to \(55^{\circ} C\) in \(5 min\) and \(45^{\circ} C....

Tonton & Download Video Musik Gratis

⬇ DOWNLOAD NOW
Kalau muncul iklan pop-up, tutup lalu klik tombol kembali

Download lagu A liquid initially at \(70^{\circ} C\) cools to \(55^{\circ} C\) in \(5 min\) and \(45^{\circ} C.... secara gratis hanya untuk keperluan promosi. Dukung artis favorit kamu dengan membeli musik original di iTunes atau platform resmi lainnya.