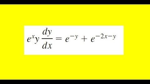
2020 Maths Extension 1 HSC Q11e Solve differential equation dy/dx=e^(2y) by separation of variables

Tonton & Download Video Musik Gratis

⬇ DOWNLOAD NOW
Kalau muncul iklan pop-up, tutup lalu klik tombol kembali

Download lagu 2020 Maths Extension 1 HSC Q11e Solve differential equation dy/dx=e^(2y) by separation of variables secara gratis hanya untuk keperluan promosi. Dukung artis favorit kamu dengan membeli musik original di iTunes atau platform resmi lainnya.