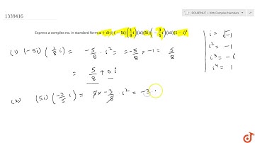
Express a complex no. in standard form `a+ib` (i) `(-5i)(1/8 i)

Tonton & Download Video Musik Gratis

⬇ DOWNLOAD NOW
Kalau muncul iklan pop-up, tutup lalu klik tombol kembali

Download lagu Express a complex no. in standard form `a+ib` (i) `(-5i)(1/8 i) secara gratis hanya untuk keperluan promosi. Dukung artis favorit kamu dengan membeli musik original di iTunes atau platform resmi lainnya.