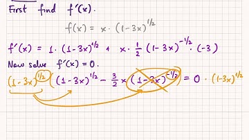
Math 135 Sections 3.3/3.4/3.5/3.9... Find horizontal tangent lines (exponential)

Tonton & Download Video Musik Gratis

⬇ DOWNLOAD NOW
Kalau muncul iklan pop-up, tutup lalu klik tombol kembali

Download lagu Math 135 Sections 3.3/3.4/3.5/3.9... Find horizontal tangent lines (exponential) secara gratis hanya untuk keperluan promosi. Dukung artis favorit kamu dengan membeli musik original di iTunes atau platform resmi lainnya.