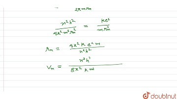
Suppose the potential energy between electron and proton at a distance \( r \) is given by \( U=...

Tonton & Download Video Musik Gratis

⬇ DOWNLOAD NOW
Kalau muncul iklan pop-up, tutup lalu klik tombol kembali

Download lagu Suppose the potential energy between electron and proton at a distance \( r \) is given by \( U=... secara gratis hanya untuk keperluan promosi. Dukung artis favorit kamu dengan membeli musik original di iTunes atau platform resmi lainnya.