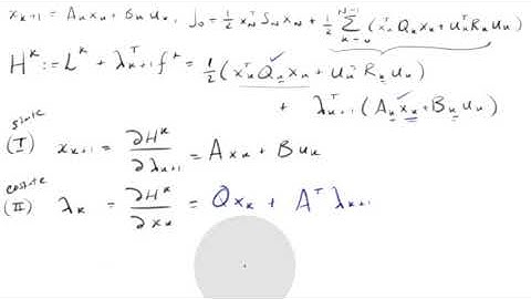
Problem 4.1: Riccati Differential equation for a toy Linear Quadratic Regulator Problem

Tonton & Download Video Musik Gratis

⬇ DOWNLOAD NOW
Kalau muncul iklan pop-up, tutup lalu klik tombol kembali

Download lagu Problem 4.1: Riccati Differential equation for a toy Linear Quadratic Regulator Problem secara gratis hanya untuk keperluan promosi. Dukung artis favorit kamu dengan membeli musik original di iTunes atau platform resmi lainnya.