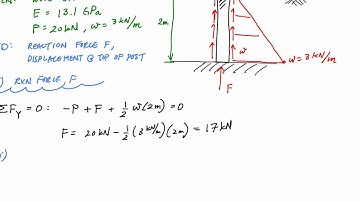
Axial Deformation Example with Linearly Distributed Loading - Mechanics of Materials

Tonton & Download Video Musik Gratis

⬇ DOWNLOAD NOW
Kalau muncul iklan pop-up, tutup lalu klik tombol kembali

Download lagu Axial Deformation Example with Linearly Distributed Loading - Mechanics of Materials secara gratis hanya untuk keperluan promosi. Dukung artis favorit kamu dengan membeli musik original di iTunes atau platform resmi lainnya.