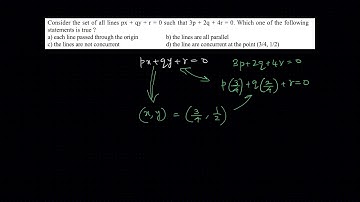
Consider the set of all lines px + qy + r = 0 such that 3p + 2q + 4r = 0. Which one of the following

Tonton & Download Video Musik Gratis

⬇ DOWNLOAD NOW
Kalau muncul iklan pop-up, tutup lalu klik tombol kembali

Download lagu Consider the set of all lines px + qy + r = 0 such that 3p + 2q + 4r = 0. Which one of the following secara gratis hanya untuk keperluan promosi. Dukung artis favorit kamu dengan membeli musik original di iTunes atau platform resmi lainnya.