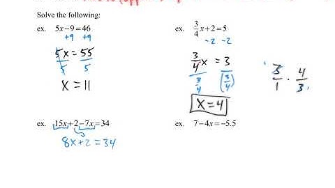
Algebra 1 Honors: Chapter 2.3 & 2.4 Solving Multi-step equations

Tonton & Download Video Musik Gratis

⬇ DOWNLOAD NOW
Kalau muncul iklan pop-up, tutup lalu klik tombol kembali

Download lagu Algebra 1 Honors: Chapter 2.3 & 2.4 Solving Multi-step equations secara gratis hanya untuk keperluan promosi. Dukung artis favorit kamu dengan membeli musik original di iTunes atau platform resmi lainnya.