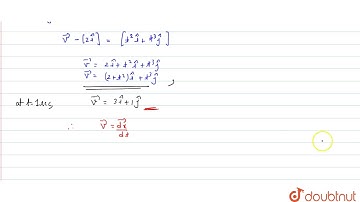
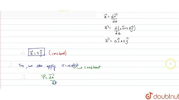
Velocity of a particle in x-y plane at any time t is `v=(2t hati+3t^2 hatj) m//s` At `t=0,` particle

Tonton & Download Video Musik Gratis

⬇ DOWNLOAD NOW
Kalau muncul iklan pop-up, tutup lalu klik tombol kembali

Download lagu Velocity of a particle in x-y plane at any time t is `v=(2t hati+3t^2 hatj) m//s` At `t=0,` particle secara gratis hanya untuk keperluan promosi. Dukung artis favorit kamu dengan membeli musik original di iTunes atau platform resmi lainnya.