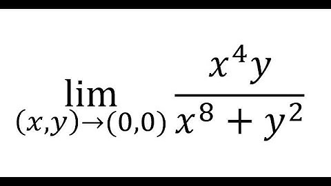
Calculus Help: Multivariable Limits - Find the lImit - lim ((x,y)→(0,0))⁡ xy/(x^2+y^2 )

Tonton & Download Video Musik Gratis

⬇ DOWNLOAD NOW
Kalau muncul iklan pop-up, tutup lalu klik tombol kembali

Download lagu Calculus Help: Multivariable Limits - Find the lImit - lim ((x,y)→(0,0))⁡ xy/(x^2+y^2 ) secara gratis hanya untuk keperluan promosi. Dukung artis favorit kamu dengan membeli musik original di iTunes atau platform resmi lainnya.