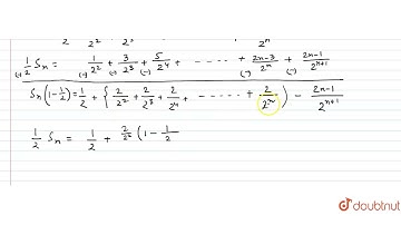
4.e) 1² + 3² + 5² + .... Sum to n terms of following series 1^2 + 3^2 + 5^2 + .... Find Sn. chapt.5

Tonton & Download Video Musik Gratis

⬇ DOWNLOAD NOW
Kalau muncul iklan pop-up, tutup lalu klik tombol kembali

Download lagu 4.e) 1² + 3² + 5² + .... Sum to n terms of following series 1^2 + 3^2 + 5^2 + .... Find Sn. chapt.5 secara gratis hanya untuk keperluan promosi. Dukung artis favorit kamu dengan membeli musik original di iTunes atau platform resmi lainnya.