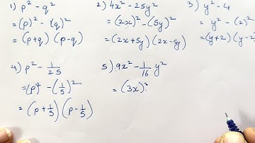
7th Std - Mathematics - Chapter 14. Algebraic Formulae – Expansion of Squares Practice Set 53 solved

Tonton & Download Video Musik Gratis

⬇ DOWNLOAD NOW
Kalau muncul iklan pop-up, tutup lalu klik tombol kembali

Download lagu 7th Std - Mathematics - Chapter 14. Algebraic Formulae – Expansion of Squares Practice Set 53 solved secara gratis hanya untuk keperluan promosi. Dukung artis favorit kamu dengan membeli musik original di iTunes atau platform resmi lainnya.