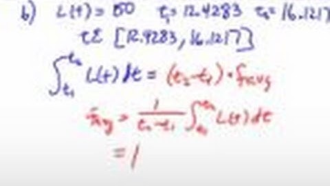
2006 AP Calculus Free Response #6 Form B Juda Math Dept

Tonton & Download Video Musik Gratis

⬇ DOWNLOAD NOW
Kalau muncul iklan pop-up, tutup lalu klik tombol kembali

Download lagu 2006 AP Calculus Free Response #6 Form B Juda Math Dept secara gratis hanya untuk keperluan promosi. Dukung artis favorit kamu dengan membeli musik original di iTunes atau platform resmi lainnya.