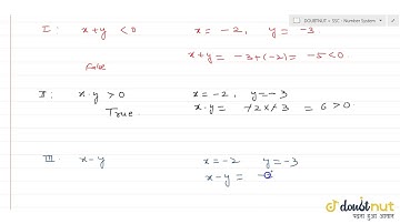
If `x\\ a n d\\ y` are negative , then which of the following statements is / are always true? `...

Tonton & Download Video Musik Gratis

⬇ DOWNLOAD NOW
Kalau muncul iklan pop-up, tutup lalu klik tombol kembali

Download lagu If `x\\ a n d\\ y` are negative , then which of the following statements is / are always true? `... secara gratis hanya untuk keperluan promosi. Dukung artis favorit kamu dengan membeli musik original di iTunes atau platform resmi lainnya.