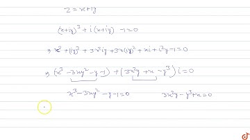
Number of real or purely imaginary solution of the equation, z^3+i z-1=0 is: (A) zero (B) one (C)...

Tonton & Download Video Musik Gratis

⬇ DOWNLOAD NOW
Kalau muncul iklan pop-up, tutup lalu klik tombol kembali

Download lagu Number of real or purely imaginary solution of the equation, z^3+i z-1=0 is: (A) zero (B) one (C)... secara gratis hanya untuk keperluan promosi. Dukung artis favorit kamu dengan membeli musik original di iTunes atau platform resmi lainnya.