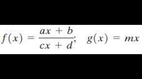
g(x)=ax+b/cx+d for x belong to R x not equal-d/c. Find condition of function for it is self inverse

Tonton & Download Video Musik Gratis

⬇ DOWNLOAD NOW
Kalau muncul iklan pop-up, tutup lalu klik tombol kembali

Download lagu g(x)=ax+b/cx+d for x belong to R x not equal-d/c. Find condition of function for it is self inverse secara gratis hanya untuk keperluan promosi. Dukung artis favorit kamu dengan membeli musik original di iTunes atau platform resmi lainnya.