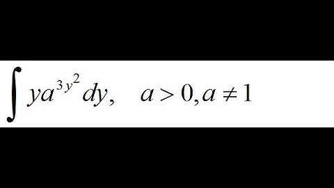
MTSC 252 01 S 1.6 Integrals Involving Exponential and Logarithmic Functions

Tonton & Download Video Musik Gratis

⬇ DOWNLOAD NOW
Kalau muncul iklan pop-up, tutup lalu klik tombol kembali

Download lagu MTSC 252 01 S 1.6 Integrals Involving Exponential and Logarithmic Functions secara gratis hanya untuk keperluan promosi. Dukung artis favorit kamu dengan membeli musik original di iTunes atau platform resmi lainnya.