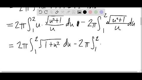
Use a CAS to find the exact area of the surface obtained by rotating the curve about the y-axis. If…

Tonton & Download Video Musik Gratis

⬇ DOWNLOAD NOW
Kalau muncul iklan pop-up, tutup lalu klik tombol kembali

Download lagu Use a CAS to find the exact area of the surface obtained by rotating the curve about the y-axis. If… secara gratis hanya untuk keperluan promosi. Dukung artis favorit kamu dengan membeli musik original di iTunes atau platform resmi lainnya.