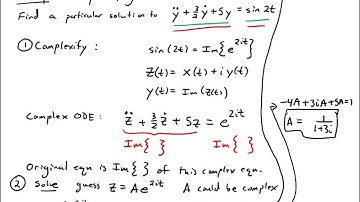
Lecture - 2nd Order Inhomogeneous ODEs and Complexification (Part 1/3)

Tonton & Download Video Musik Gratis

⬇ DOWNLOAD NOW
Kalau muncul iklan pop-up, tutup lalu klik tombol kembali

Download lagu Lecture - 2nd Order Inhomogeneous ODEs and Complexification (Part 1/3) secara gratis hanya untuk keperluan promosi. Dukung artis favorit kamu dengan membeli musik original di iTunes atau platform resmi lainnya.