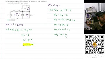
Problem 4.39 - Engineering Circuit Analysis - Hayt & Hemmerly, 9th Ed - Mesh Analysis

Tonton & Download Video Musik Gratis

⬇ DOWNLOAD NOW
Kalau muncul iklan pop-up, tutup lalu klik tombol kembali

Download lagu Problem 4.39 - Engineering Circuit Analysis - Hayt & Hemmerly, 9th Ed - Mesh Analysis secara gratis hanya untuk keperluan promosi. Dukung artis favorit kamu dengan membeli musik original di iTunes atau platform resmi lainnya.