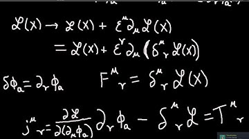
Stress-Energy Tensor for Klein-Gordon Field | Direct Derivation from Lagrangian

Tonton & Download Video Musik Gratis

⬇ DOWNLOAD NOW
Kalau muncul iklan pop-up, tutup lalu klik tombol kembali

Download lagu Stress-Energy Tensor for Klein-Gordon Field | Direct Derivation from Lagrangian secara gratis hanya untuk keperluan promosi. Dukung artis favorit kamu dengan membeli musik original di iTunes atau platform resmi lainnya.